コラーゲン線維の効果的な形成には素材の添加タイミングが重要であることを確認

研究開発

コラーゲン線維の効果的な形成には素材の添加タイミングが重要であることを確認 ―ヒト真皮線維芽細胞の力を最大化する線維形成促進技術の可能性―

2025年4月23日

ロート製薬株式会社(本社:大阪市、社長:杉本雅史)は、ロートグループ 総合経営ビジョン 2030である「Connect for Well-being」の実現に向けて、健やかで美しい肌を支えるコラーゲンの研究に力を入れています。
コラーゲンペプチドやビタミンCは広く美容内服製品に使用されています。また、これらの素材がヒト真皮線維芽細胞(以下、線維芽細胞)でのコラーゲン産生に影響を与えることは知られています。しかし、素材の組み合わせや摂取タイミングに関する知見は十分に明らかになっていません。このたび当社は、素材の添加タイミングがコラーゲン線維(※1)の形成に影響を与えることを明らかにし、その研究成果を日本薬学会第145年会(2025年3月28日付)にて発表しました。
本研究では、線維芽細胞のコラーゲン線維形成プロセス(※2)に合わせて、素材を適切なタイミングで添加することで、細胞本来の力を引き出し、コラーゲン線維の生成量を大幅に向上させることを確認しました。これにより、肌が自らハリを生み出す力の強化が期待され、新たな剤形の開発にもつながる可能性があります。

研究成果のポイント

  • コラーゲン線維形成のプロセスに着目して、段階に作用する成分に分けて試験設計。
  • 添加タイミングを考慮することでより高いコラーゲン線維形成効果を確認。

研究の背景

加齢や紫外線などにより、肌のコラーゲン線維量は年齢とともに減少し、線維芽細胞の活性も20代から低下すると言われています(引用文献1)。こうした背景から、コラーゲンペプチドやビタミンC、ミネラルといった成分が美容目的で活用されてきましたが、これらの成分が線維芽細胞にどのように届いて、コラーゲン産生能および線維形成能を高めるかについては、最適な組み合わせや効果的な活用法を含めて、いまだ十分な知見が蓄積されていません。
本研究では、コラーゲンを増やすだけでなく、肌の土台となる「コラーゲン線維」としてしっかりと組み上げることにも目を向けました。線維芽細胞の「コラーゲン線維形成プロセス」に着目し、肌のハリに直接寄与するコラーゲン線維を効果的に形成するために、適切な素材の組み合わせおよびそれらの添加タイミングについて検討しました。
今回、アミノ酸・ペプチド(以下、CompA)と、ビタミンC、ミネラルなどを含む成分(以下、CompB)を設計しました。これらを線維芽細胞に対して同時あるいは時間差(前後添加:CompAを添加して2時間後にCompBを添加)に分けて添加する影響を、プロコラーゲン(※3)産生量およびコラーゲン線維量の2つの指標で比較評価しました。

結果

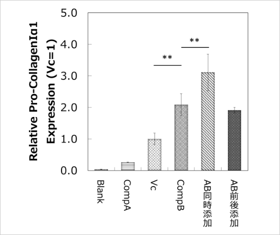
1. CompAとCompBの組み合わせは最も効果的なプロコラーゲン産生能を示した

線維芽細胞におけるCompA、ビタミンC、CompB、AB同時添加、AB前後添加によるコラーゲン産生能を、培養上清中のプロコラーゲン量を指標に比較しました。
その結果、ビタミンC単独と比較して、ビタミンCとミネラルなどを含むCompBはプロコラーゲンの産生を有意に促進しました。さらに、CompAとCompBを同時に添加した条件(AB同時添加)では最も高いプロコラーゲン産生量が確認されました(図1)。

図1:プロコラーゲン産生量の比較

<試験方法>
素材の溶解度並びに細胞毒性、細胞形態への影響を考慮し、素材の濃度を設定しました。CompA:5%低分子フィッシュコラーゲン+0.01%加水分解大豆ペプチド;CompB:0.1%リン酸L-アスコルビルマグネシウム+0.002%ピロリン酸第二鉄+0.001%ヘルシャスZn+20%ユーグレナグラシリスEX45(株式会社ユーグレナ);Blank: 素材が含まれない基礎培地(1%FBSを含むDMEM);ビタミンC(Vc):0.1% リン酸L-アスコルビルマグネシウム
線維芽細胞に各素材を溶解した培地を添加し、7日間培養しました。AB前後添加群では、CompAを添加後、2時間培養したのち上清を除去し、CompBを添加しました。培養終了後、培養上清を回収し、Pro-Collagen Iα1(#DY6220-05, R&D Systems社)のELISAキットを用いて定量解析を実施しました。
(Tukey-Kramer (n=3), p<0.05*, p<0.01**, p<0.001***)
(ロート製薬研究所で実施)

2. 素材添加の順序によって線維形成能に違いが表れることを確認

本研究では、プロコラーゲン産生能に加え、肌のハリに直接的に関与するコラーゲン線維量についても、免疫蛍光染色法を用いて評価しました(図2)。
その結果、CompBはビタミンCと比較してより多くのコラーゲン線維が形成され、ミネラル成分が線維形成促進に寄与することが示されました。また、CompA単独では線維形成はほとんど認められませんでしたが、CompBとの前後添加により、線維形成が大きく促進される相乗効果が確認されました。一方、同時添加した場合は1の結果よりプロコラーゲンの産生は確認されたものの、成熟した線維構造の形成効果は低い傾向が見られました。

図2:コラーゲン線維量の比較

<試験方法>
上記の方法と同様に試験を行いました。培養終了後、抗コラーゲンI抗体を用いた免疫蛍光染色を実施し、線維形成能評価を行いました。赤:コラーゲンI(一次抗体:抗コラーゲンI抗体,二次抗体:Alexa546標識抗体)青:細胞核(DAPI染色)(図2-A)。蛍光顕微鏡を用いてコラーゲン線維を観察し、ウェル当たりの線維面積を定量解析しました。(図2-B)
(Tukey-Kramer (n=3), p<0.05*, p<0.01**, p<0.001***)
(ロート製薬研究所で実施)

考察

以上の結果から、成分をただ細胞に添加するだけではなく、そのタイミングが線維形成に重要であることが示唆されました。プロコラーゲン産生についてはCompAとCompBを同時に添加した条件で高い効果が得られました。これに対して、コラーゲン線維形成では、CompAとCompBを時間差で添加(前後添加)した条件で最大の効果が認められました。
CompAに含まれるアミノ酸やペプチドは、プロコラーゲン合成のための材料を供給し、CompBに含まれるビタミンCやミネラルは、線維形成に必要な酵素の働きをサポートしていると推察しています。
すなわち、前後添加によって細胞が段階的にプロコラーゲンを合成・分泌し、効果的に線維へと組み立てられるプロセスを経たのではないかと考察しています。これは、生体内でのコラーゲン線維形成のプロセスを模倣することで、細胞本来の機能を最大限に引き出せる可能性を示唆しています。

本研究成果の意義

本研究により、成分の作用タイミングを考慮することで、コラーゲン線維形成効果を高める可能性が示唆されました。特に、単にコラーゲン産生量を増やすのではなく、肌の構造を実際に支える“コラーゲン線維”をいかに効果的に形成できるかという点は肌の健康に対する新たなアプローチに繋がる可能性が考えられます。今後もより高い機能性を持つ製品開発に向けた研究を進めてまいります。

引用文献

  1. Reilly DM, et al. Skin collagen through the life stages: importance for skin health and beauty. Plast Aesthet Res. 2021;8:2. doi:10.20517/2347-9264.2020.153.

用語説明

※1 コラーゲン線維:皮膚や腱などの組織を支える主要な構造タンパク質で、組織の強度や弾力性を維持する役割を担います。三重らせん構造を持つトロポコラーゲン※4が細胞外で集合・架橋され、強靭な線維構造を形成します。

※2 コラーゲン線維形成プロセス(図3):細胞内ではアミノ酸やペプチドを利用して、酵素(ヒドロキシラーゼ等)の働きによりプロコラーゲンを合成します。プロコラーゲンは細胞外に分泌され、不要な末端部分が切断されてトロポコラーゲンとなり、さらに架橋反応を経てコラーゲン線維へと成熟します。これらの過程には、ビタミンC、鉄、亜鉛などが酵素の補因子・活性化因子として関与します。

※3 プロコラーゲン:細胞内で合成されるコラーゲンの前駆体。修飾を受けた後、細胞外へ分泌され、線維形成の素材となります。

※4 トロポコラーゲン:プロコラーゲンから末端を除去した基本単位で、3本のポリペプチド鎖が三重らせんを構成し、コラーゲン線維の基礎構造となります。

図3:コラーゲン線維形成プロセス